Subiecte BAC 2022 sesiunea de toamnă la matematică. Absolvenții de liceu continuă sesiunea cu examenul la matematică, de pe 17 august. Pe 16 august, elevii au susținut proba la limba română. Cei care nu au promovat Bacalaureatul în prima sesiune s-au putut înscrie la sesiunea de toamnă, în perioada 18-25 iulie.
Subiecte BAC 2022 sesiunea de toamnă la matematică, susținută pe 17 august


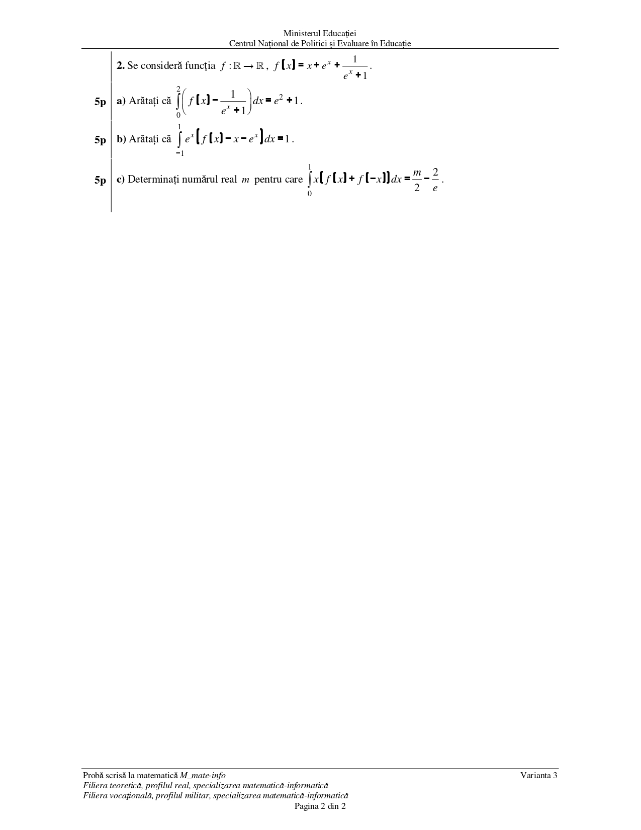
Centrul National de Politici și Evaluare în Educație a publicat modelele de teste pentru Bacalaureat 2022. Iată ce ar putea primi elevii în sesiunea de toamnă, la atematică.
Pe 17 august 2022 este programată Proba obligatorie a profilului, matematică sau istorie, iar pe 18 august 2022 are loc Proba la alegere a profilului și specializării. Elevii care aparțin minorităților naționale vor susține proba scrisă la Limba și literatura maternă pe 19 august.
Potrivit calendarului BAC-ului de toamnă, în perioada 18-25 iulie s-au desfășurat înscrierile la sesiunea din august.

Elevii care nu au promovat în prima sesiune de examene mai au șansa în sesiunea de toamnă. În sesiunea de vară de la Bacalaureat 2022 s-au înscris 126.454 de candidați din promoția curentă și din alte generații. A fost cel mai mic număr de candidați înscriși pentru Bac din ultimii 30 de ani.
Modelele de subiecte la matematică pentru examenul de Bacalaureat 2022 le puteți găsi accesând site-ul- subiecte.edu.ro/2022/bacalaureat/modeledesubiecte.
Reguli pe care elevii trebuie să le respecte
- executarea schemelor și a desenelor folosesc numai creion negru
- La disciplinele “Matematică” și “Geografie”, elevii pot să utilizeze instrumente de desen
- candidații vor folosi numai cerneală sau pastă de culoare albastră
Elevii au interzis să introducă în sălile de examen:
- ghiozdane
- sacoșe
- poșete și alte obiecte
- rucsacuri
Elevii au obligaţia de a lăsa obiectele menţionate în sala de depozitare a obiectelor personale stabilită de comisia de bacalaureat în acest scop.
„De asemenea, se interzice candidaţilor să comunice între ei sau cu exteriorul, să copieze, să transmită materiale care permit copiatul sau să schimbe între ei foi din lucrare, ciorne, notiţe sau alte materiale care ar putea fi utilizate pentru rezolvarea subiectelor, potrivit ordinului 5151/2021.
Nu este permisă folosirea, în timpul probelor scrise, a mijloacelor de calcul. Se folosește numai hârtia distribuită candidaților de către asistenți.
Cei care încalcă regulile de mai sus vor fi eliminați din examen și nu mai au dreptul de a participa la următoarele două sesiuni ale examenului de bacalaureat, fără a se lua în calcul sesiunea specială, indiferent dacă materialele/obiectele interzise au fost folosite sau nu.
Regula în timpul examenului
După ce s-au terminat cele 3 ore, elevii predau lucrările în faza în care se află, fiind interzisă depășirea timpului stabilit. Trei candidați rămân în sală până la predarea ultimei lucrări”, potrivit Ministerul Educației.
Calendarul Bacalaureatului de toamnă 2022
- Înscrierea candidaților la a doua sesiune de examen, inclusiv a candidaților care au promovat examenele de corigențe- 18 – 25 iulie 2022:
- Limba și literatura română — proba E.a) — proba scrisă- 16 august 2022
- Proba obligatorie a profilului — proba E.c) — proba scrisă- 17 august 2022
- Proba la alegere a profilului și specializării —– proba E.d) — proba scrisă- 18 august 2022:
- Limba și literatura maternă — proba E.b) — proba scrisă-19 august 2022
- Evaluarea competențelor lingvistice de comunicare orală în limba română — proba A- 22 – 23 august 2022
- Evaluarea competențelor lingvistice de comunicare orală în limba maternă — proba B- 24 august 2022
- Evaluarea competențelor digitale — proba D- 25 august 2022
- Evaluarea competențelor lingvistice într-o limbă de circulație internațională — proba C- 26 și 29 august 2022
- Afișarea rezultatelor la probele scrise (până la ora 12:00) și depunerea contestațiilor (orele 12:00 – 18:00)- 31 august 2022
- Rezolvarea contestațiilor- 1 – 2 septembrie 2022
- Afișarea rezultatelor finale- 3 septembrie 2022