Pe 27 iunie a avut loc a doua probă scrisă a Bacalaureatului. Absolvenții de clasa a XII-a, de la profilul real, au susținut proba la matematică, iar cel de la profilul uman au dat examen la istorie.
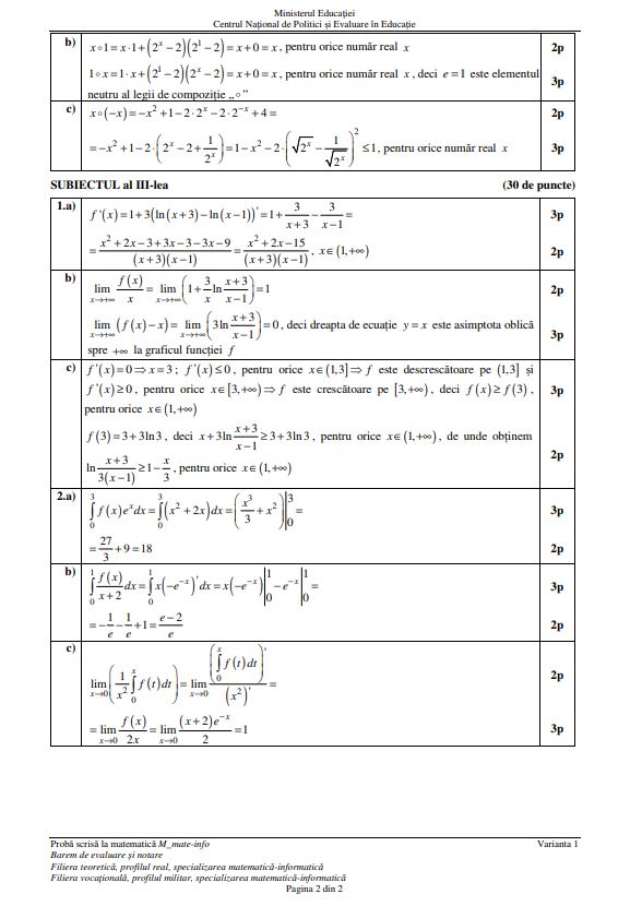
Barem de corectare. Rezolvare subiecte Bacalaureat 2023 la matematică



După ce încheie proba de la matematică, elevii așteaptă cu sufletul la gură să vadă baremul de rezolvare. Acesta va fi publicat și pe ego.ro deîndată ce va fi disponibil. Astfel, cu ajutorul lui, elevii își pot da seama, orientativ, ce notă vor lua la această probă.
Urmează apoi proba la alegere a profilului şi specializării. Se poate opta, în funcție de filieră, profil și specializare pentru una din cele 10 discipline: Biologie, Chimie, Fizică, Economie, Filosofie, Geografie, Informatică, Logică, argumentare și comunicare, Sociologie și Psihologie.
Vezi și – Subiecte Bacalaureat 2023 la matematică. Elevii susțin a doua probă scrisă la BAC 2023
Calendar probe scrise la Bacalaureat 2023
- Luni, 26 iunie – Limba și literatura română
- Marți, 27 iunie – proba obligatorie a profilului (discipline, în funcție de profil: Matematică și Istorie)
- Miercuri, 28 iunie – proba la alegere a profilului şi specializării (se poate opta, în funcție de filieră, profil și specializare pentru una din cele 10 discipline: Biologie, Chimie, Fizică, Economie, Filosofie, Geografie, Informatică, Logică, argumentare și comunicare, Sociologie și Psihologie)
- Joi, 29 iunie – Limba si literatura maternă (pentru elevii de la toate filierele, profilurile şi specializările, care au urmat studiile liceale într-o limbă a minorităților naționale)
- 3 iulie 2023 – Afișarea rezultatelor la probele scrise până la ora 12:00) și depunerea contestațiilor în intervalul orar 12:00 – 18:00
- 4 – 6 iulie 2023 – Rezolvarea contestațiilor
- 7 iulie 2023 – Afișarea rezultatelor finale
Rezultatele finale vor fi afișate prin anonimizarea numelui
În conformitate cu prevederile art. 5 și ale art. 6 din Regulamentul UE 2016/679 privind protecția persoanelor fizice în ceea ce privește prelucrarea datelor cu caracter personal și privind libera circulație a acestor date de abrogare a Directivei 95/46/CE (Regulamentul general privind protecția datelor – GDPR), rezultatele de la Bacalaureat 2023 sunt afișate prin anonimizarea numelui și a prenumelui candidatului, mai precis prin coduri.
Bacalaureat sesiunea august 2023
Pentru cei care nu vor promova Bacalaureatul în prima sesiune sau nu s-au prezentat la aceasta, îl pot susține în luna august. Iată calendarul probelor:
17 – 24 iulie 2023 – Înscrierea candidaților la a doua sesiune de examen, inclusiv a candidaților care au promovat examenele de corigențe
7 – 8 august 2023 – Evaluarea competențelor lingvistice de comunicare orală în limba română – proba A
8 august 2023 – Evaluarea competențelor lingvistice de comunicare orală în limba maternă – proba B
9 august 2023 – Evaluarea competențelor digitale – proba D
10 – 11 august 2023 – Evaluarea competențelor lingvistice într-o limbă de circulație internațională – proba C
16 august 2023 – Limba și literatura română – proba E.a) – proba scrisă
17 august 2023 – Proba obligatorie a profilului – proba E.c) – proba scrisă
18 august 2023 – Proba la alegere a profilului și specializării – proba E.d) – proba scrisă
21 august 2023 – Limba și literatura maternă – proba E.b) – proba scrisă
25 august 2023 – Afișarea rezultatelor la probele scrise (până la ora 12,00) și depunerea contestațiilor (orele 12,00 – 18,00)
26 – 28 august 2023 – Rezolvarea contestațiilor
29 august 2023 – Afișarea rezultatelor finale