Rezolvare subiecte BAC 2022 sesiunea de toamnă la limba maternă. Baremul de corectare

Rezolvare subiecte BAC 2022 sesiunea de toamnă la limba maternă

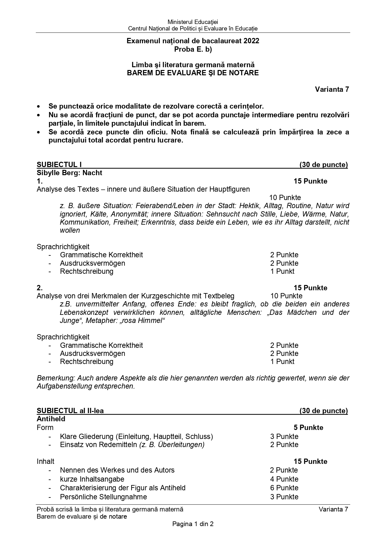
Rezolvare subiecte BAC 2022 sesiunea de toamnă la limba maternă. Aceasta a fost ultima probă pe care elevii de liceu au avut-o de susținut în această sesiune. Examenul s-a desfășurat vineri, 19 august, iar rezolvarea subiectelor a fost făcut pubbică la scurt timp. Anunțul a fost dat de Ministerul Educației, pe site-ul oficial.

Rezolvare subiecte BAC 2022 sesiunea de toamnă la limba maternă, de pe 19 august

Baremul de corectare
Baremul de corectare
Baremul de corectare
Baremul de corectare
Baremul de corectare
Baremul de corectare
Baremul de corectare
Baremul de corectare
Baremul de corectare
Baremul de corectare
Baremul de corectare
Baremul de corectare
Baremul de corectare
Baremul de corectare
Baremul de corectare
Baremul de corectare
Baremul de corectare
Baremul de corectare
Baremul de corectare
Baremul de corectare

Sesiunea de toamnă la Bacalaureat 2022 se încheie vineri, 19 august, cu proba la Limba Maternă. Sesiunea a început pe 16 august, la Limba Română, a continuat cu proba la matematică, pe 17 august, iar apoi proba la alegere de pe 18 august. Iată mai jos, rezolvarea subiectelor la BAC 2022 sesiunea de toamnă la limba maternă

Pentru a afla rezolvarea subiectelor la Limba Maternă, puteți accesa site-ul Ministerului Educației.

Anunțul făcut de Ministrul Educației

Recent, ministrul Educației, Sorin Cîmpeanu a declarat că în sesiunea din vară a examenului de Bacalaureat 2022 a fost înregistrat cel mai mic număr de elevi.

„Numărul celor înscriși la Bacalaureat este cel mai mic din istoria postdecembristă a României. Și înainte de 1989 aveam, de asemenea, un număr mult mai mare.

Spre exemplu, în anul 2008 aveam 225.000 de elevi înscriși la bacalaureat. Anul acesta, avem doar 126.000. Și vorbesc și de promoția curentă, și de promoțiile anterioare.

Până în anul 2012, am avut constant peste 200.000 înscriși la bacalaureat. Anul acesta, doar 126.000. Anul trecut am avut 133.000, iar acum doi ani, am avut 155.000. Scăderea este de-a dreptul dramatică”, a spus ministrul Cîmpeanu.

Reguli pe care candidații le-au avut de respectat la examene

La Bac 2022, elevii nu au voie să intre în sala de examen având în posesie: telefoane mobile, sacoșe, poșete, manuale, cărți , dicționare, memoratoare notițe, culegeri, căști audio, ghiozdane, formulare ciorne lucrări ale altor candidați sau orice tip de document ce ar putea fi folosit pentru rezolvarea subiectelor.

Alte reguli esențiale

  • Cei care se prezintă la examenul de Bacalaureat sunt obligați să lase toate obiectele menționate mai sus în sala de depozitare.
  • Nu vor fi primiți în sala de examen, elevii claselor terminale de liceu care refuză să depoziteze obiectele
  • În timpul examenului, candidații nu au voie să vorbească între ei sau cu exteriorul
  • Nu au voie să copieze, să transmită materiale care permit copiatul sau să schimbe între ei foi din lucrare, ciorne, notițe sau alte materiale

Calendar Bacalaureat 2022 sesiunea toamnă

  • Candidații se înscriu la a doua sesiune de examen. Inclusiv candidații care au promovat examenele de corigențe- 18 – 25 iulie 2022
  • Limba și literatura română — proba E.a) — proba scrisă- 16 august 2022
  • Proba obligatorie a profilului — proba E.c) — proba scrisă- 17 august 2022
  • Proba la alegere a profilului și specializării —– proba E.d) — proba scrisă- 18 august 2022
  • Limba și literatura maternă — proba E.b) — proba scrisă- 19 august 2022
  • Se evaluează competențele lingvistice de comunicare orală în limba română — proba A- 22 – 23 august 2022
  • Evaluarea competențelor lingvistice de comunicare orală în limba maternă — proba B- 24 august 2022
  • Evaluarea competențelor digitale — proba D- 25 august 2022
  • Evaluarea competențelor lingvistice într-o limbă de circulație internațională — proba C- 26 și 29 august 2022
  • Afișarea rezultatelor la probele scrise (până la ora 12:00) și depunerea contestațiilor (orele 12:00 – 18:00)- 31 august 2022
  • Se rezolvă contestațiile- 1 – 2 septembrie 2022
  • Se afișează rezultatele finale- 3 septembrie 2022

Lasă un răspuns

Adresa ta de email nu va fi publicată. Câmpurile obligatorii sunt marcate cu *

Cele mai populare

Am rămas însărcinată cu un coleg de muncă după o aventură de-o noapte. Când a aflat, nu a mai vrut să audă de mine pentru că este căsătorit

EGO - povestea ta

Am rămas însărcinată cu un coleg de muncă după o aventură de-o noapte. Când a aflat, nu a…

Nu cred că mi-aș dori să-și lase familia pentru mine, dar cred că mi-ar fi plăcut să simt puțin sprijinul lui acum. La urma urmei,…
Ce notă a luat CTP la BAC. Cunoscutul gazetar a făcut publică media obținută

Educație - școala

Ce notă a luat CTP la BAC. Cunoscutul gazetar a făcut publică media obținută

Cristian Tudor Poepscu a dezvăluit ce notă a obținut la examenul de Bacalaureat. [...]Citește mai mult... from Ce notă a luat CTP la BAC. Cunoscutul…
Îmi înşel soţul cu şeful meu de aproape doi ani. Chiar el m-a împins să fac asta

EGO - povestea ta

Îmi înşel soţul cu şeful meu de aproape doi ani. Chiar el m-a împins să fac asta

Îmi înșel soțul cu șeful meu și nu mă simt vinovată. Partea tristă e că tocmai el e cel care m-a împins spre asta. [...]Citește…

Cele mai noi știri

Previziuni numerologice zilnice, 28 septembrie, duminică. Vibrația prieteniei aduce conexiuni autentice și sprijin reciproc

Astrologie

Previziuni numerologice zilnice, 28 septembrie, duminică. Vibrația prieteniei aduce…

Ziua de duminică, 28 septembrie 2025, se conturează ca un moment dedicat relațiilor de prietenie și interacțiunilor sociale. Energia zilei favorizează armonia în grupuri, deschiderea…
Horoscop chinezesc zilnic, 28 septembrie, duminică. O zi dedicată reflecției personale și regenerării interioare

Astrologie

Horoscop chinezesc zilnic, 28 septembrie, duminică. O zi dedicată reflecției personale și…

Duminică, 28 septembrie, astrele recomandă să încetinești ritmul și să îți acorzi timp pentru tine. Este ziua ideală pentru introspecție, meditație și refacerea energiei fizice…
Previziuni numerologice zilnice, 27 septembrie, sâmbătă. Vibrația iubirii aduce conexiuni profunde și momente de armonie

Astrologie

Previziuni numerologice zilnice, 27 septembrie, sâmbătă. Vibrația iubirii aduce conexiuni…

Ziua de sâmbătă, 27 septembrie 2025, se conturează ca un moment dedicat relațiilor, emoțiilor și conexiunilor profunde. Energia zilei favorizează armonia, comunicarea sinceră și apropierea…